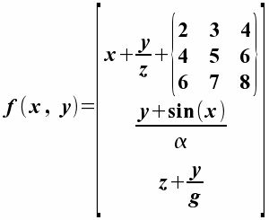
Matrix in Bold Font

Here is an example of how to create a bold font matrix in Collabora Office Math. You can copy this example to the Commands window using the clipboard and use it in your own formula.

Matrix in bold font

bold { f(x", "y) = left [ stack { x + y over z + left lbrace matrix { 2 # 3 # 4 ## 4 # 5 # 6 ## 6 # 7 # 8} right rbrace # {y + sin (x)} over %alpha # z + y over g } right ]}

Please support us!