Ajuda do Collabora Office 23.05
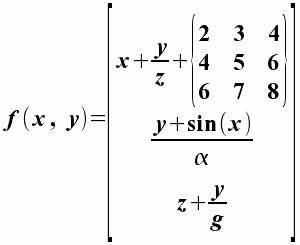
Este é um exemplo de como criar uma matriz com fonte em negrito no Collabora Office Math. Você pode copiar este exemplo para a janela Comandos usando a área de transferência e usá-lo na sua própria fórmula.

bold { f(x", "y) = left [ stack { x + y over z + left lbrace matrix { 2 # 3 # 4 ## 4 # 5 # 6 ## 6 # 7 # 8} right rbrace # {y + sin (x)} over %alpha # z + y over g } right ]}