Hilfe für Collabora Office 22.05
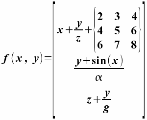
Hier finden Sie ein Beispiel dafür, wie Sie mit Collabora Office Math eine Matrix in Fettschrift erstellen. Um die Beispielsyntax für Ihre Arbeit zu übernehmen, kopieren Sie diese über die Zwischenablage in das Fenster Kommandos.

bold { f(x", "y) = left [ stack { x + y over z + left lbrace matrix { 2 # 3 # 4 ## 4 # 5 # 6 ## 6 # 7 # 8} right rbrace # {y + sin (x)} over %alpha # z + y over g } right ]}